Baoli
KBD-30

New
Price on Demand

We deal with Transparency: a Commission is applied if the deal is completed successfully, which is covered by the Seller's profit at No Extra Cost to the Buyer.

Description

The Baoli KBD-30 3Ton Forklift is a versatile equipment that can be fitted with a multitude of mast configurations and attachments.

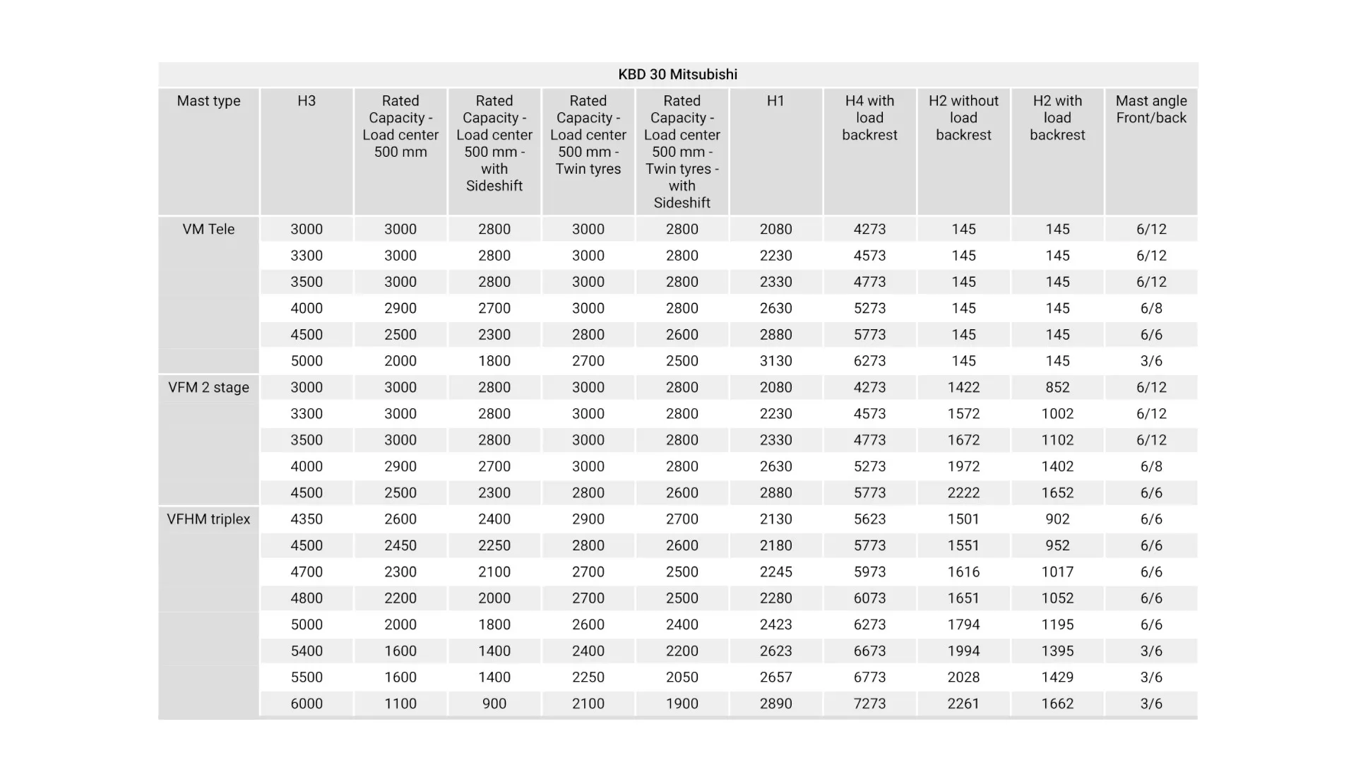
General Specifications

Segment Diesel Forklifts - 3T

SEATING CAPACITY 1

MAST STAGE Single Stage / 2 Stage With Center Jack / 3 Stage With Center Jack

TOP SPEED (KM/H) 17

WARRANTY 1 Year / 2000 Hours

BRAND ORIGIN China

COUNTRY OF ASSEMBLY China

Engine / Motor

Engine Type Mitsubishi S4S

Energy Diesel

Number Of Cylinders 4

Power (HP) 47

Torque (N.M) 138

Fuel Injection Type Mechanical Fuel Injection

Emission Standard Euro 3

Measurements

WEIGHT (TON) 4.4

LENGTH (M) 2.71

WIDTH (M) 1.225

HEIGHT (M) 2.108

MAX. CAPACITY (TON) 3

MAX. HEIGHT (M) 3

FORK LENGTH (M) 1.07

Technical Features

FUEL TANK CAPACITY (L) 52

ELECTRICAL SYSTEM 12V

FRONT TIRES 28×9-15-14PR

REAR TIRES 6.5-10-10PR

Drive Train

TRANSMISSION TYPE Automatic

NUMBER OF SPEED 1F/1R

Standard Features

SIDE SHIFT Optional

BACK-UP ALARM

HORN

BEACON LAMP

AIR CONDITIONED CAB Optional

Dealer Contact

Al Ahlia Heavy Vehicles Selling & Import Co.

Advertisement

Browsing History

Recently Viewed